[Funland] Xung đột biên giới Campuchia và Thái Lan - chuẩn bị chiến tranh không?

alongcamepolly

Xe lăn
Biển số
OF-24452
Ngày cấp bằng
19/11/08
Số km
14,822
Động cơ
926,332 Mã lực
Nơi ở
mọi nơi có thể

Bingboong

Xe hơi
Biển số
OF-52100
Ngày cấp bằng
4/12/09
Số km
147
Động cơ
455,191 Mã lực
Hình như sau đó có vụ đảo chính giả, thật gì đó để thống nhất rồi mà cụ, cái này từ lâu rồi thì phải!
Tác phẩm của tướng Vịnh đó ạ!


Thủ tướng Campuchia Hun Sen cùng cố Thượng tướng Nguyễn Chí Vịnh năm 1998 - khi đó mang quân hàm Đại tá, Cục trưởng Cục 12, Tổng cục 2, Tổ trưởng tổ điệp báo C98 làm nhiệm vụ hỗ trợ chính quyền Hun Sen và Đảng Nhân dân Campuchia chống đảo chính và chống bạo loạn hậu bầu cử.

Giữa năm 1997, nền chính trị Campuchia nổ ra cuộc đảo chính giữa 2 thủ tướng Norodom Ranariddh và Hun Sen. Để kịp thời hỗ trợ bạn, giữ vững thành quả của cách mạng Campuchia và chống Khmer Đỏ quay trở lại, Tổng cục 2 đã trực tiếp chỉ đạo Cục 12 phụ trách tình báo phía Nam tổ chức một tổ công tác sang Campuchia làm nhiệm vụ. Tổ C được tái lập trở lại do đích thân Cục trưởng Nguyễn Chí Vịnh làm Tổ trưởng chỉ huy trực tiếp. Thành viên tổ công tác khi đó gồm các thành viên Phạm Ngọc Hùng, Phạm Văn Thạnh, Phan Văn Việt, Phan Anh Việt, v.v (các đồng chí này sau đều giữ các chức vụ rất cao tại các cục nghiệp vụ và Tổng cục). Từ năm 1997 đến 1999, tổ đã lập được nhiều chiến công, hỗ trợ chính quyền bạn đứng vững qua các cuộc chính biến 1997 và bầu cử 1998. Đến năm 1999, khi tình hình chính trị của bạn đã ổn định thì tổ C98 rút về nước và giải tán, kết thúc nhiệm vụ.

Năm 2007, để ghi nhận những thành tích đặc biệt xuất sắc của tổ công tác khi thực hiện nhiệm vụ quốc tế, Đảng và Nhà nước đã trao tặng danh hiệu Anh hùng Lực lượng vũ trang nhân dân cho tổ C98.

1766805646706.png
 

Dream 100

Máy Bay
Người OF
Biển số
OF-742387
Ngày cấp bằng
9/9/20
Số km
46,155
Động cơ
5,820,798 Mã lực
Nơi ở
Hà Nội

Dream 100

Máy Bay
Người OF
Biển số
OF-742387
Ngày cấp bằng
9/9/20
Số km
46,155
Động cơ
5,820,798 Mã lực
Nơi ở
Hà Nội
Không quân Thái Lan đã thả 16 quả bom xuống tỉnh Banteay Meanchey sáng nay 27/12.

Các cuộc không kích diễn ra trong khoảng thời gian 30 phút, từ 7h30 đến 8h sáng, ngay khi Bộ trưởng Quốc phòng Campuchia Tea Seiha bắt đầu cuộc đàm phán với người đồng cấp Thái Lan, Nattapon Nakpanich tại cuộc họp của Ủy ban Biên giới chung (GBC)

Nguồn: Phnom Penh Post
IMG_2684.jpeg
 

Toàn Hoa

Xe buýt
Biển số
OF-518510
Ngày cấp bằng
27/6/17
Số km
570
Động cơ
209,564 Mã lực
Em có nhắn tin hỏi thăm người bạn Cam ( quen nhau đợt cùng chuyến ctac), cũng gần như các cụ đang chém trên OF :
- Cam chỉ lo thủ, ko có khả năng tấn công ngược lại
- Cam chịu ký ngừng bắn rồi, nhưng Thái éo nghe, vẫn tấn công hằng ngày
- Không có anh lớn nào bảo kê ( vì nhúng vào cuộc chiến này chẳng có lợi ích gì )
- Tinh thần của người dân Cam ko được như VN, ở mình đợt giàn khoan 981 khí thế hừng hực, cả nước xác định thằng kia khai hỏa thì " 1 răng cũng bừa ". Dân Cam chỉ biết chắp tay cầu nguyện chứ không có suy nghĩ oánh nhau.
Em cũng bảo với nó, dân VN tao trải qua quá nhiều cuộc chiến rồi, tinh thần Thà hy sinh tất cả để bảo vệ Tổ quốc ở trong máu của mọi người ( Đoạn này có thể đúng với giai đoạn trước, giai đoạn này thì ko biết thế nào =))
 

Dream 100

Máy Bay
Người OF
Biển số
OF-742387
Ngày cấp bằng
9/9/20
Số km
46,155
Động cơ
5,820,798 Mã lực
Nơi ở
Hà Nội
Bộ trưởng Quốc phòng Thái Lan, Tướng Natthaphon Narkphanit, đã dẫn đầu phái đoàn Thái Lan tham dự cuộc họp của Ủy ban Biên phòng Campuchia (GBC) với Bộ trưởng Quốc phòng Campuchia, Tướng Tea Seiha, vào ngày 27 tháng 12 tại trạm kiểm soát biên giới Ban Phakkad, Chanthaburi, trước thềm lễ ký kết thỏa thuận ngừng bắn dự kiến.

Tướng Natthaphon cho biết thỏa thuận sẽ được theo dõi trong 72 giờ đầu tiên – nếu không có sự cố nào xảy ra, các chi tiết cụ thể sẽ được công bố sau.

(Nguồn: The Nation Thailand)
IMG_2685.jpeg
 

Dream 100

Máy Bay
Người OF
Biển số
OF-742387
Ngày cấp bằng
9/9/20
Số km
46,155
Động cơ
5,820,798 Mã lực
Nơi ở
Hà Nội
TIN NÓNG: Campuchia và Thái Lan đã nhất trí ngừng bắn ngay lập tức, có hiệu lực từ 12 giờ trưa ngày 27 tháng 12. Thông tin này đã được xác nhận trong một tuyên bố chung do Bộ trưởng Quốc phòng Tea Seiha và người đồng cấp Thái Lan, Nattapon Nakpanich đồng ký nhận.

(Nguồn: Phnom Penh Post)
IMG_2686.jpeg
 

PHUONG.

Xe điện
Biển số
OF-869673
Ngày cấp bằng
14/10/24
Số km
2,048
Động cơ
44,166 Mã lực
Tác phẩm của tướng Vịnh đó ạ!


Thủ tướng Campuchia Hun Sen cùng cố Thượng tướng Nguyễn Chí Vịnh năm 1998 - khi đó mang quân hàm Đại tá, Cục trưởng Cục 12, Tổng cục 2, Tổ trưởng tổ điệp báo C98 làm nhiệm vụ hỗ trợ chính quyền Hun Sen và Đảng Nhân dân Campuchia chống đảo chính và chống bạo loạn hậu bầu cử.

Giữa năm 1997, nền chính trị Campuchia nổ ra cuộc đảo chính giữa 2 thủ tướng Norodom Ranariddh và Hun Sen. Để kịp thời hỗ trợ bạn, giữ vững thành quả của cách mạng Campuchia và chống Khmer Đỏ quay trở lại, Tổng cục 2 đã trực tiếp chỉ đạo Cục 12 phụ trách tình báo phía Nam tổ chức một tổ công tác sang Campuchia làm nhiệm vụ. Tổ C được tái lập trở lại do đích thân Cục trưởng Nguyễn Chí Vịnh làm Tổ trưởng chỉ huy trực tiếp. Thành viên tổ công tác khi đó gồm các thành viên Phạm Ngọc Hùng, Phạm Văn Thạnh, Phan Văn Việt, Phan Anh Việt, v.v (các đồng chí này sau đều giữ các chức vụ rất cao tại các cục nghiệp vụ và Tổng cục). Từ năm 1997 đến 1999, tổ đã lập được nhiều chiến công, hỗ trợ chính quyền bạn đứng vững qua các cuộc chính biến 1997 và bầu cử 1998. Đến năm 1999, khi tình hình chính trị của bạn đã ổn định thì tổ C98 rút về nước và giải tán, kết thúc nhiệm vụ.

Năm 2007, để ghi nhận những thành tích đặc biệt xuất sắc của tổ công tác khi thực hiện nhiệm vụ quốc tế, Đảng và Nhà nước đã trao tặng danh hiệu Anh hùng Lực lượng vũ trang nhân dân cho tổ C98.

View attachment 9447442
Thế là nó vững. Và nó vững thì nó bỏ mình với mười mấy km đường biên lằng nhằng . rồi nó mặc bikini trước Mỹ . xong nó bỏ Mỹ tuột hết cả bikini quắp chân Tàu. Nó đào kênh dọa nồi cơm , dọa giường ngủ của mình .
 
Biển số
OF-896804
Ngày cấp bằng
10/11/25
Số km
65
Động cơ
945 Mã lực
Tuổi
41
Thế là nó vững. Và nó vững thì nó bỏ mình với mười mấy km đường biên lằng nhằng . rồi nó mặc bikini trước Mỹ . xong nó bỏ Mỹ tuột hết cả bikini quắp chân Tàu. Nó đào kênh dọa nồi cơm , dọa giường ngủ của mình .
Thế nên giờ nó bị anh Thái lọ đè ngửa ra hấp diêm thì có ảnh nào thèm ngó ngàng vào bênh đâu.
 

Dream 100

Máy Bay
Người OF
Biển số
OF-742387
Ngày cấp bằng
9/9/20
Số km
46,155
Động cơ
5,820,798 Mã lực
Nơi ở
Hà Nội
Thái Lan và Campuchia đã ký một tuyên bố chung tại cuộc họp của Ủy ban Biên giới Chung (GBC) ở Chanthaburi, nhất trí ngừng bắn theo thỏa thuận Kuala Lumpur, trong đó Campuchia chấp nhận tạm ngừng bắn 72 giờ liên quan đến việc bàn giao 18 tù binh chiến tranh Campuchia, dưới sự giám sát của các quan sát viên ASEAN.

Bộ trưởng Quốc phòng Thái Lan, Tướng Natthaphon Narkphanit, hôm thứ Bảy (27 tháng 12 năm 2025) đã tham dự cuộc họp của Ủy ban Biên giới Chung (GBC) Thái Lan-Campuchia tại cửa khẩu biên giới Ban Phakkad thuộc huyện Pong Nam Ron, tỉnh Chanthaburi.

Phái đoàn Thái Lan do Tướng Nuttapong Praokaew, Phó Tham mưu trưởng kiêm Thư ký GBC, dẫn đầu, trong khi phái đoàn Campuchia do Tướng Tea Seiha, Phó Thủ tướng kiêm Bộ trưởng Quốc phòng, dẫn đầu. Cuộc họp kéo dài khoảng 30 phút.

Sau cuộc đàm phán, hai bên đã ký một tuyên bố chung nêu rõ thỏa thuận về lệnh ngừng bắn và hợp tác liên quan theo thỏa thuận Kuala Lumpur đạt được vào ngày 26 tháng 10 năm 2025.

Tuyên bố cũng phản ánh đề xuất được Campuchia chấp nhận về việc tuân thủ lệnh ngừng bắn 72 giờ, đổi lại việc Thái Lan trao trả 18 binh sĩ Campuchia bị bắt làm tù binh chiến tranh, như đã được thảo luận trong cuộc đàm phán cấp thư ký.

Một nhóm quan sát viên ASEAN (AOT) do Chuẩn tướng Samsul Rizal bin Musa, Trợ lý Tùy viên Quốc phòng Malaysia tại Thái Lan và người đứng đầu phái đoàn quan sát tại Thái Lan, dẫn đầu, đã theo dõi cuộc họp.

(Nguồn: The Nation Thailand)
IMG_8285.jpeg
 

Dream 100

Máy Bay
Người OF
Biển số
OF-742387
Ngày cấp bằng
9/9/20
Số km
46,155
Động cơ
5,820,798 Mã lực
Nơi ở
Hà Nội
Thái Lan và Campuchia ký Tuyên bố chung👍

“Cả hai bên nhất trí ngừng bắn ngay lập tức, có hiệu lực từ 12 giờ trưa (giờ địa phương) ngày 27/12 năm 2025."
IMG_8286.jpeg
IMG_8287.jpeg
IMG_8288.jpeg
 

Dream 100

Máy Bay
Người OF
Biển số
OF-742387
Ngày cấp bằng
9/9/20
Số km
46,155
Động cơ
5,820,798 Mã lực
Nơi ở
Hà Nội
Thái Lan và Campuchia ký Tuyên bố chung👍

“Cả hai bên nhất trí ngừng bắn ngay lập tức, có hiệu lực từ 12 giờ trưa (giờ địa phương) ngày 27/12 năm 2025."
IMG_8286.jpeg
IMG_8287.jpeg
IMG_8288.jpeg
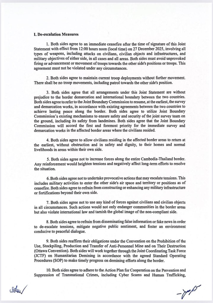
Tuyên bố chung Thái vs Cam (ChatGPT dịch)
--------
Tuyên bố chung của Cuộc họp đặc biệt lần thứ 3 Ủy ban Biên giới Chung (GBC)

Giữa Vương quốc Campuchia và Vương quốc Thái Lan tại cửa khẩu quốc tế Prum
(Tỉnh Pailin, Campuchia) – Ban Pak Kard (Tỉnh Chanthaburi, Thái Lan)
Ngày 27 tháng 12 năm 2025

Cuộc họp đặc biệt lần thứ 3 của Ủy ban Biên giới Chung (GBC) tại Prum (Tỉnh Pailin, Campuchia) – Ban Pak Kard (Tỉnh Chanthaburi, Thái Lan) do Tướng Tea Seiha, Phó Thủ tướng, Bộ trưởng Bộ Quốc phòng Vương quốc Campuchia, Đồng Chủ tịch GBC Campuchia và Tướng Natthaphon Narkphanit, Bộ trưởng Bộ Quốc phòng Vương quốc Thái Lan, Đồng Chủ tịch GBC Thái Lan đồng chủ trì, với sự tham gia của Đội Quan sát ASEAN (AOT) với tư cách quan sát viên.

Cuộc họp:

Nhận thấy tầm quan trọng của việc thảo luận giải quyết hòa bình các tranh chấp trong bầu không khí tin cậy, chân thành, thiện chí, công bằng, tôn trọng lẫn nhau, phù hợp với mục tiêu và nguyên tắc của Hiến chương Liên Hợp Quốc, Hiến chương ASEAN và Hiệp ước Thân thiện và Hợp tác Đông Nam Á, mở ra một chương mới về hòa bình và hợp tác giữa hai nước;

Ghi nhớ Tuyên bố của Chủ tịch ASEAN tại Cuộc họp đặc biệt Bộ trưởng Ngoại giao ASEAN về “Tình hình hiện tại giữa Campuchia và Thái Lan” tổ chức ngày 22/12/2025 tại Kuala Lumpur;

Khẳng định lại cam kết vững chắc kiềm chế việc đe dọa hoặc sử dụng vũ lực, giải quyết hòa bình tranh chấp, tôn trọng biên giới quốc tế và luật pháp quốc tế, nhằm thúc đẩy hòa bình, an ninh, ổn định và thịnh vượng, trên cơ sở tôn trọng độc lập, chủ quyền, bình đẳng, toàn vẹn lãnh thổ và bản sắc dân tộc của hai nước;

Tái khẳng định cam kết thực hiện đầy đủ và hiệu quả thỏa thuận ngừng bắn ngày 28/7/2025, các thỏa thuận liên quan đã đạt được sau đó cũng như các thỏa thuận tại các cuộc họp GBC và Ủy ban Biên giới chung;

Tái khẳng định quyết tâm quay lại đối thoại, xây dựng dựa trên các thỏa thuận trước, các cơ chế song phương hiện có nhằm chấm dứt mọi hành động thù địch, thiết lập hòa bình thực sự và bền vững, củng cố lòng tin và khôi phục cuộc sống bình thường, hòa bình lâu dài tại khu vực biên giới;

Nhất trí các biện pháp sau:

I. Các biện pháp giảm leo thang

1️⃣ Hai bên nhất trí ngừng bắn ngay lập tức từ 12:00 trưa (giờ địa phương) ngày 27/12/2025, áp dụng cho mọi loại vũ khí, bao gồm cả tấn công vào dân thường và mục tiêu dân sự. Cấm mọi hành động nổ súng, tiến công, di chuyển quân về phía đối phương.

2️⃣ Hai bên duy trì hiện trạng bố trí quân đội, không di chuyển, kể cả tuần tra.

3️⃣ Mọi thỏa thuận trong Tuyên bố này không ảnh hưởng đến tiến trình phân định biên giới. Hai bên đồng ý để Ủy ban Biên giới Chung nối lại việc khảo sát, cắm mốc sớm nhất có thể, hợp tác đảm bảo an toàn nhóm khảo sát, đặc biệt khu vực có dân cư bị ảnh hưởng.

4️⃣ Hai bên đồng ý cho người dân tại khu vực biên giới được trở về nhà an toàn, có nhân phẩm, sớm nhất có thể.

5️⃣ Không tăng cường lực lượng dọc biên giới, tránh làm căng thẳng leo thang.

6️⃣ Không thực hiện hành động khiêu khích, bao gồm xâm nhập không phận, lãnh thổ, xây dựng hoặc tăng cường công trình quân sự.

7️⃣ Không sử dụng vũ lực chống lại dân thường và công trình dân sự.

8️⃣ Không phát tán thông tin sai lệch, tin giả nhằm tránh căng thẳng và tạo môi trường đối thoại.

9️⃣ Tái khẳng định nghĩa vụ theo Công ước Ottawa về cấm mìn sát thương, phối hợp rà phá bom mìn theo quy trình chung.

🔟 Hợp tác chống tội phạm xuyên quốc gia, bao gồm lừa đảo mạng và buôn người; tăng cường phối hợp giữa cảnh sát hai nước.

1️⃣1️⃣ Theo tinh thần Tuyên bố Kuala Lumpur 26/10/2025, 18 binh sĩ Campuchia sẽ được trao trả sau khi lệnh ngừng bắn được duy trì trọn vẹn 72 giờ.

II. Cơ chế thực thi và giám sát

1️⃣2️⃣ Công nhận vai trò quan trọng của Đội Quan sát ASEAN (AOT) và thống nhất tăng cường vai trò.

1️⃣3️⃣ Sử dụng các đơn vị phối hợp biên giới hai nước để duy trì ngừng bắn, xử lý tình huống kịp thời.

1️⃣4️⃣ Duy trì liên lạc trực tiếp giữa Bộ trưởng Quốc phòng và Tổng Tư lệnh hai nước; khi cần thiết tổ chức gặp cấp cao.

1️⃣5️⃣ Nhóm phối hợp rà phá bom mìn sẽ thông báo chính quyền địa phương để tạo điều kiện thuận lợi.

1️⃣6️⃣ Nhóm truyền thông chính thức hai nước sẽ phối hợp cung cấp thông tin minh bạch, ngăn chặn tin giả, tăng cường lòng tin.

Tuyên bố chung này được ký hồi … giờ, ngày 27 tháng 12 năm 2025, bằng tiếng Anh, gồm hai bản gốc có giá trị như nhau.

Ký:

Ngài Tea Seiha
Phó Thủ tướng – Bộ trưởng Quốc phòng Campuchia
Đồng Chủ tịch GBC Campuchia

Ngài Natthaphon Narkphanit
Bộ trưởng Quốc phòng Thái Lan
Đồng Chủ tịch GBC Thái Lan

(Nguồn: Phnom Penh Post)
 

hbu082

Xe container
Biển số
OF-325756
Ngày cấp bằng
3/7/14
Số km
9,755
Động cơ
372,145 Mã lực
Tác phẩm của tướng Vịnh đó ạ!


Thủ tướng Campuchia Hun Sen cùng cố Thượng tướng Nguyễn Chí Vịnh năm 1998 - khi đó mang quân hàm Đại tá, Cục trưởng Cục 12, Tổng cục 2, Tổ trưởng tổ điệp báo C98 làm nhiệm vụ hỗ trợ chính quyền Hun Sen và Đảng Nhân dân Campuchia chống đảo chính và chống bạo loạn hậu bầu cử.

Giữa năm 1997, nền chính trị Campuchia nổ ra cuộc đảo chính giữa 2 thủ tướng Norodom Ranariddh và Hun Sen. Để kịp thời hỗ trợ bạn, giữ vững thành quả của cách mạng Campuchia và chống Khmer Đỏ quay trở lại, Tổng cục 2 đã trực tiếp chỉ đạo Cục 12 phụ trách tình báo phía Nam tổ chức một tổ công tác sang Campuchia làm nhiệm vụ. Tổ C được tái lập trở lại do đích thân Cục trưởng Nguyễn Chí Vịnh làm Tổ trưởng chỉ huy trực tiếp. Thành viên tổ công tác khi đó gồm các thành viên Phạm Ngọc Hùng, Phạm Văn Thạnh, Phan Văn Việt, Phan Anh Việt, v.v (các đồng chí này sau đều giữ các chức vụ rất cao tại các cục nghiệp vụ và Tổng cục). Từ năm 1997 đến 1999, tổ đã lập được nhiều chiến công, hỗ trợ chính quyền bạn đứng vững qua các cuộc chính biến 1997 và bầu cử 1998. Đến năm 1999, khi tình hình chính trị của bạn đã ổn định thì tổ C98 rút về nước và giải tán, kết thúc nhiệm vụ.

Năm 2007, để ghi nhận những thành tích đặc biệt xuất sắc của tổ công tác khi thực hiện nhiệm vụ quốc tế, Đảng và Nhà nước đã trao tặng danh hiệu Anh hùng Lực lượng vũ trang nhân dân cho tổ C98.

View attachment 9447442
chăm nớ như chăm em bé, mà nó lật như bánh tráng các cụ hầy.
lúc nó gặp trắc trở, khó khăn, bị bóp cổ thì nó tìm mình, lúc nó no đủ ăn chơi nhảy múa thì nó quay lại nó chửi mình, đâm kim vào mông mình, bọn 4 lạng.
 

omerta77

Xe container
Biển số
OF-35686
Ngày cấp bằng
21/5/09
Số km
6,385
Động cơ
800,966 Mã lực
Em có nhắn tin hỏi thăm người bạn Cam ( quen nhau đợt cùng chuyến ctac), cũng gần như các cụ đang chém trên OF :
- Cam chỉ lo thủ, ko có khả năng tấn công ngược lại
- Cam chịu ký ngừng bắn rồi, nhưng Thái éo nghe, vẫn tấn công hằng ngày
- Không có anh lớn nào bảo kê ( vì nhúng vào cuộc chiến này chẳng có lợi ích gì )
- Tinh thần của người dân Cam ko được như VN, ở mình đợt giàn khoan 981 khí thế hừng hực, cả nước xác định thằng kia khai hỏa thì " 1 răng cũng bừa ". Dân Cam chỉ biết chắp tay cầu nguyện chứ không có suy nghĩ oánh nhau.
Em cũng bảo với nó, dân VN tao trải qua quá nhiều cuộc chiến rồi, tinh thần Thà hy sinh tất cả để bảo vệ Tổ quốc ở trong máu của mọi người ( Đoạn này có thể đúng với giai đoạn trước, giai đoạn này thì ko biết thế nào =))
Giờ trông có thể thấy vậy thôi chứ có chiến tranh thì lại 100 người như 1 thôi cụ. Truyền thống của người Việt rồi.
Ước gì thời bình cũng có đầy đủ tinh thần đoàn kết như thế này thì Việt Nam còn tiến xa nữa
 

The Fishman

Xe tải
Biển số
OF-730054
Ngày cấp bằng
22/5/20
Số km
455
Động cơ
9,914 Mã lực
Tuổi
33
Giờ trông có thể thấy vậy thôi chứ có chiến tranh thì lại 100 người như 1 thôi cụ. Truyền thống của người Việt rồi.
Ước gì thời bình cũng có đầy đủ tinh thần đoàn kết như thế này thì Việt Nam còn tiến xa nữa
mơ đi cụ.
Như trong Game thì dân tộc mình có nội tại ẩn là khi giặc đến các chỉ số auto x2: Đoàn kết, Ý thức tự giác, Kỷ luật, trách nhiệm, niềm tin ...
nhưng trong thời bình thì cũng các chỉ số đó lại .. chia 2 :D ^^
 

omerta77

Xe container
Biển số
OF-35686
Ngày cấp bằng
21/5/09
Số km
6,385
Động cơ
800,966 Mã lực
mơ đi cụ.
Như trong Game thì dân tộc mình có nội tại ẩn là khi giặc đến các chỉ số auto x2: Đoàn kết, Ý thức tự giác, Kỷ luật, trách nhiệm, niềm tin ...
nhưng trong thời bình thì cũng các chỉ số đó lại .. chia 2 :D ^^
Thế người ta mới gọi là ước mơ
 

td lines

Xe điện
Biển số
OF-127062
Ngày cấp bằng
9/1/12
Số km
4,838
Động cơ
463,657 Mã lực
Xít-ta-lin pha Trạch Đông cộng Ních-Xơn , mỗi thằng một loại súng . Ra trận đạn của ai người đó bắn , thân thằng nào thằng ấy lo

IMG_3696.jpeg
 

Bingboong

Xe hơi
Biển số
OF-52100
Ngày cấp bằng
4/12/09
Số km
147
Động cơ
455,191 Mã lực
Như nuôi thằng nghiện ấy các cụ à! Chiều quá thì nó hư mà của đâu nuôi nó mãi, nhưng rắn mặt không cho nó chôm đồ nhà thì nó hết chôm đồ hàng xóm lại quay mặt ăn vạ, theo hàng xóm quay lại chôm đồ nhà mình. Thái mà chưa lật được cha con nó thì chưa ngừng đánh đâu. Cơ mà mình không giữ nó lại thì lại có thằng Chí khác về...

Thế là nó vững. Và nó vững thì nó bỏ mình với mười mấy km đường biên lằng nhằng . rồi nó mặc bikini trước Mỹ . xong nó bỏ Mỹ tuột hết cả bikini quắp chân Tàu. Nó đào kênh dọa nồi cơm , dọa giường ngủ của mình .
chăm nớ như chăm em bé, mà nó lật như bánh tráng các cụ hầy.
lúc nó gặp trắc trở, khó khăn, bị bóp cổ thì nó tìm mình, lúc nó no đủ ăn chơi nhảy múa thì nó quay lại nó chửi mình, đâm kim vào mông mình, bọn 4 lạng.
 
Thông tin thớt
Đang tải

Bài viết mới

Top